扫码购买正式版题库

  • 海量题库
  • 全真模拟
  • 专项训练
  • 预测试题
  • 押题密卷
  • 错题强化

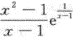
当x→1时,f(x)=的极限为().

单选题
当x→1时,f(x)=的极限为().

A2

B0

C

D不存在但不是∞

最新更新

易过题库在线搜题

热门题库